学术研究
当前位置: 首页 >> 学术研究 >> 史料钩沉 >> 中国矿业大学史 >> 正文

矿事流年卝感天动地爱国情——“12·9”运动中的焦工学子南下请愿活动

来源: 作者:王传棨 展淳 马诗芸编辑:胡其伟时间:2021-12-10点击数:


在中国矿业大学110多年的办学历程中,广大矿务学生始终高举爱国主义旗帜,与国家、民族同命运,在反帝反封建、抗日救国、追求解放的斗争中,秉承爱国救亡、民主进步、心忧天下、关注民生、救国重劳工的思想,不断融入和掀起爱国运动的大潮,在学校发展史上抒写了华彩的篇章。

1931年初,学校易名为焦作工学院,并成立了学生自治会。随后的“九一八”事变,使抗日救亡成为中国人民的紧急任务和普遍要求。面对日本帝国主义的侵略行径,广大焦工学生挺身而出,融入全国抗日洪潮,在中原大地上吹响了抗日救国的号角。

图片

《呼声》第四期


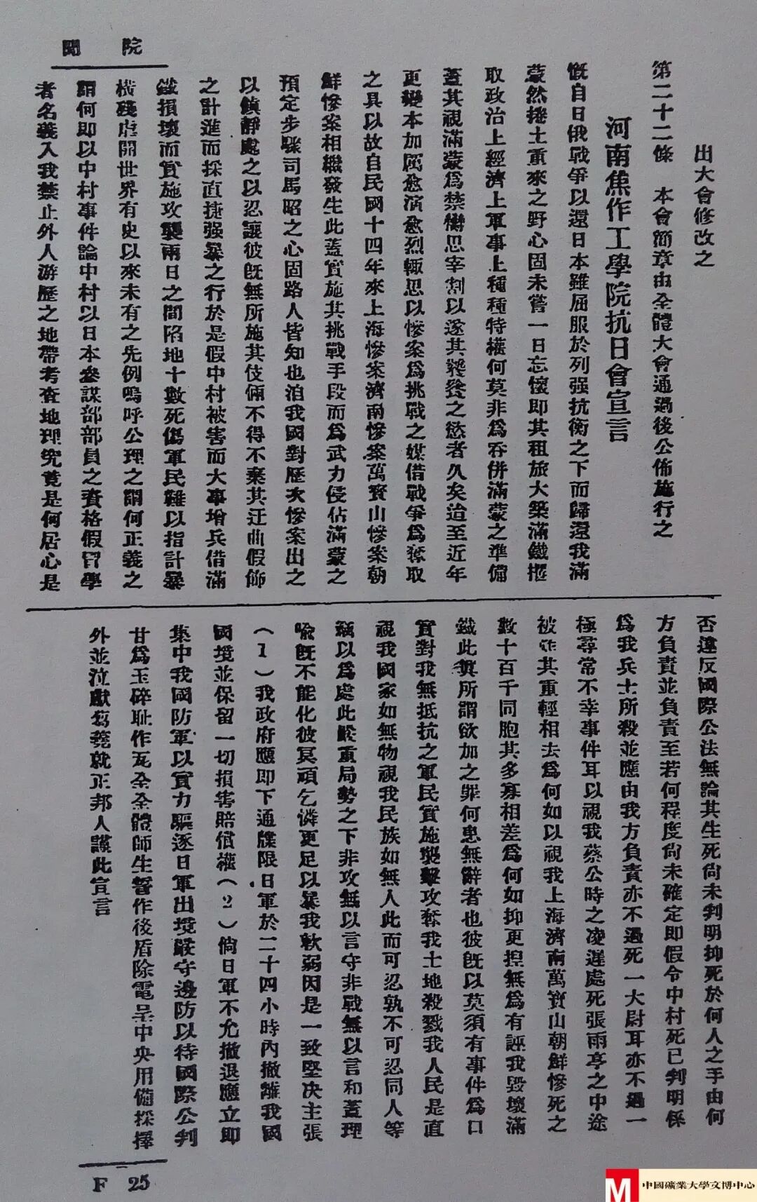
“九一八”事变后,日本帝国主义在东北地区推行殖民地化统治的同时,利用南京国民政府的不抵抗主义,一步步把侵略魔爪伸向华北。彼时的中国,民族危机日益严重。焦工学生自治会召开大会并酝酿成立了“焦作工学院学生抗日救国会”,发表《河南焦作工学院抗日会宣言》,深刻揭露日本的侵略野心并明确指出“非攻无以言守,非战无以言和”,最后表示“甘为玉碎,耻作瓦全,全体师生暂作后盾。”由于焦工学生的宣传发动和影响,抗日反蒋怒潮在豫北和焦作矿区汹涌澎湃,有力地配合着全国人民的抗日救亡。

图片

《河南焦作工学院抗日会宣言》



图片

“一二九”运动学生游行场景


1935年北平爆发了反对华北自治的“一二九”运动, 北平、天津等城市的大中学校纷纷成立爱国学生组织,罢课、游行以求唤醒民众的爱国热情,呼吁全民抗日,力保华北国土。国势阽危,于斯已极,焦作工学院青年学生亦报誓死拥护领土完整之决心,痛感华北危在旦夕,必须奋起救亡。院学生自治会在12月16日召开全体大会,建立了学生救国会,发表宣言,并派学生代表“到汴与各校交换意见,进行声援……组织河南全省学生救亡会”。




时值寒冬,雨雪相阻,峭风凛凛,远路迢迢。纵有种种磨难险阻,难凉青年爱国之热诚。怎能忘“九一八”事变后,东北之千千万万同胞饱受着日寇蹂躏之痛苦;怎忍见华北事变使我华北同胞纷纷惊扰逃亡?“忍看图画移颜色,肯使江山付劫灰,”中华民族已到存亡之际,我辈只能奋不顾身,挽救于万一。

图片

“一二九”运动学生游行场景


12月20日,共青团中央发出《为抗日救国告全国各校学生和各界同胞宣言》,要求学生吸取“九一八”事变后学生运动的教训(部分先进青年暴露、被捕,革命力量遭到破坏),号召学生“把抗日救国运动扩大起来!到工人中去,到农民中去,到商民中去,到军队中去!唤醒他们救国的觉悟,推动他们建立救国的组织。……实行全民抗日救亡大联合,和实行各界同胞武装抗日的共同战斗!”

22日,焦工学生救国会在学校大礼堂举行全体大会,形成声援慰问北平学生;实行罢课;组织游行示威等五项决议。

23日以焦工为首的各校3000多名学生和部分矿工、市民,冲破阻挠,冒着严寒,高唱《义勇军进行曲》举行抗日救国大会。会上,焦工平津籍学生先后登台演讲,声泪俱下地讲述了华北局势和北平学生舍死忘生的爱国行动。全场不时高呼“停止内战,一致抗日”“反对华北自治”“打倒日本帝国主义”等口号,声彻云霄,震动煤城。会上通过了“全体总动员,一致抗日;取消华北伪组织;保障学生爱国运动;惩罚残杀爱国青年之凶犯;解放言论与集会结社之自由”等八项请愿条件,并决定由焦工全体学生代表焦作市学生联合会赴南京向国民政府请愿。

图片

焦作工学院学生义勇军


24日,焦作各校学生及工人、市民数千人送行,全院144名学生打着“焦作工学院南下请愿团”的横幅门旗,登车往南京请愿。请愿团行程中发布《告民众书》表示:“请愿的目的,就是誓死反对冀东伪组织,并督促政府早定救国大计,全国总动员,一致抗敌”。同时学生自治会(抗日救国会)发表通电指出:“本会恨于匹夫之有责之义,报誓死拥护领土完整之决心。爰决议全体晋京,作振臂之高呼,谋众志之成城,尚希我河南同胞,激义兴起,共此敌忾,使叛逆闻风丧胆,狡谋知难而不进,邦家前途实利赖之。”,由于火车拥挤,学生们只能蹲坐在货车里前往请愿,尽管天寒地冻,但莘莘学子爱国热情不减。

24日午至新乡,请愿团利用转车的时间,组织学生赴学校、街道进行抗日救国宣传。下午,又召开了新乡教育界救国万人联合大会,学生自治会常务干事(主席)高宪琰到会发表了抗日救国演说,之后举行声势浩大的游行。国民党当局派人劝阻请愿团南下,请愿团一致表示“不达救国目的不止,决不半途而返!”。

12月25日凌晨,请愿团到达郑州,参加了郑州各中等以上学校的集会,并发表演说宣传抗日,期间国民党又派员来阻,遭到同学们痛斥。

26日抵徐州,国民政府下令津浦路不予开车以阻学生南下,同学们怀着满腔热情“一致决议,徒步南下!”当时雨雪相阻,道路泥泞,夜宿距徐州二十余里之三堡车站。

图片

“一二九”运动学生游行场景


27日,请愿团抗议国民政府的行为,举行卧轨斗争,使津浦路交通断绝。




大雪至,凛风吹,彼时中国的处境也如这冷峭寒冬。旷野冷寂,青年们的脚步声裹挟在冷风中,冷风中弥漫着无与伦比的决心,无与伦比的悲壮。当身躯触碰到冰冷的、随着火车行进而颤动的铁轨时,难道他们不惧怕吗?在冷风中,他们是否也会想起养育他们的故土,想起陪伴他们长大的父母师友,想起幼时的安稳时光?但为了光复每一寸被铁蹄践踏的国土,为了中华全体同胞的安危,“拼将十万头颅血,须把乾坤力挽回。”你们有荷枪实弹,我们有热血和头颅。这就是焦工学子,这就是中国青年,祖国陆沉人人有责,危难之际敢于舍身。

图片

焦作工学院学生告民众书



28日,国民党教育部为阻止学生请愿活动,专电请愿团:“南京自本日起,军警实行戒严,结队请愿,在禁止之列。”并派专员竭力劝导学生,表示“全力转达一切(请愿诉求),候电告政府最高领袖答复”,同学们才忍痛返徐候复。

黄杰、周淦来到请愿团驻地,转交蒋介石慰问电:


图片

蒋介石致

焦作工学院学生电

“诸君请愿各点,均已聆悉,爱国热诚,曷胜佩慰,政府前已电令各校,推定代表,来京谈话,并宣示外交方针,以期同心戮力,共赴国难,即盼遵照前令,届时推定代表来京,万勿跋涉道途,荒废学业,使国家个人皆蒙损失。”并要求请愿团在“此电到时,务须即日安心返校以孚厚望,至深跂盼。”


经过近一周时间的斗争,国民党的阻挠使同学们认识到请愿并不能解决问题,关键是要唤起民众救国热情只有同工农的结合,才能挽狂澜于既倒,从亡国灭种之困境中挽救中国。遂于12月29日在徐州发表了《焦作工学院学生告民众书》,重申请愿诉求,提出:“全国动员一致抗敌;惩罚残杀爱国青年之北平当局;保障学生爱国运动;解放言论集会结社自由”等八项条件,结束请愿。

12月31日焦工学生返校后,即响应中国共产党的号召,到工农群众中去,组织演讲分队,扩大爱国救亡宣传。



图片

“一二九”运动学生游行场景


在抗日救国学生运动中,焦工学子的南下请愿爱国活动走在全国学生前列:与同期的1936年1月全国学联组织的500人平津学生宣传团(分四队)活动相比,焦工学生倾校参加,活动启动时间早、影响面广,对国民党政府震动较大,也间接促成了学生与政府就抗日问题的直接对话。

“一二九”运动后,国民政府颁布教育令限制学生抗日救国运动。焦工学子们积极拿起了文化运动的武器,利于所学所识,积极通过编纂抗日刊物《呼声》,创作、排演抗日救亡话剧《抗日》、《六个无名英雄》、《良心》、《放下你的鞭子》等,彰显抗日民族精神,开展抗日救亡文化运动。

图片

焦作工学院学子创作的抗日文学作品


请愿团赴南京请愿,沿途开展抗日救亡宣传的爱国行动,显示了焦工学生高度的爱国热情,成为当时日益高涨的全国抗日救亡运动的组成部分,同时也为该院爱国进步学生运动写下了闪光的一页。焦工学生通过“一二九”运动对国家和民族命运有了更深刻的认识,更加坚定了爱国热情,同时也激发了广大民众的爱国情怀,推动了当时抗日爱国统一阵线的形成。


焦作工学院学生请愿团赴南京请愿,开展抗日救亡宣传的爱国运动,显示了焦工学生高度的爱国热情,唤起了沿线广大民众的救国觉悟,为抗日救亡学生运动史上留下了光辉的一页。其壮烈之行动,忧国之精神,深得一国同胞之同情。

倘若您于今日来到五省通衢的徐州,在莽莽冬夜里沿着铁轨行进。在无边的旷野上,在凛冽的天宇下,仍然激荡着一种声音,仍高唱着:


“太行之阳河水东,

莘莘学子救国重劳工。

源深流自远,物阜民用丰。

山葱葱,水溶溶。

努力,努力,行健天同工!”




参考文献:

[1]  《河南焦作工学院抗日会宣言》,《焦作工学生》第一卷第一期,1931年12月31日。

[2]  《豫学生声援北平学生爱国运动》,《豫北日报》1935年12月20日

[3]  郑洸,《中国青年运动六十年》,中国青年出版社,1992年,第208页

[4]《焦作工学院全体学生今日赴京大请愿》,《豫北日报》1935年12月24日

[5]  《焦作学生爱国运动,誓死反对冀东伪组织》,《豫北日报》1935年12月25日

[6]  《焦作学生爱国运动,誓死反对冀东伪组织》,《豫北日报》1935年12月25日

[7]  《河南民报》,1935年12月26日

[8]  《焦作工学院周刊》,第四卷第17、18期合刊,1936年1月1日

[9]  《焦作工学院学生告民众书》,《焦作工学院周刊》,第四卷第17、18期合刊,1936年1月1日


  • 附件【129南下.pdf】已下载

上一篇:发现刘鹗的签名

关闭